Especificación en Z de guardar_op

 

VELOCIDAD ::= nula | sin_cambio

COSECHA ::= detenida | no_cambia

MODO ::= prueba | normal

MENSAJE ::= si | no

[OPERACION]

ESPACIO == N

®tamaño: OPERACION f ESPACIO

®guardar_op: MODO x ESPACIO x OPERACION
®
f OPERACION x MENSAJE x VELOCIDAD x COSECHA
Ç_______________
®
Am: MODO; e: ESPACIO; o: OPERACION ¥
®
guardar_op (m, e, o) =
®
if m = prueba
®
then if tamaño o ø e
®
then (o, no, sin_cambio, no_cambia)
®
else (o, si, nula, detenida)
®
else (o, no, sin_cambio, no_cambia)

Recibe una operación a registrar y, dependiendo del modo en que funcione el sistema, chequea (o no) si el espacio disponible en disco es suficiente para almacenarla. Si es así guarda la operación, si no, si el modo es PRUEBA detiene la cosecha. La función sin especificar tamaño determina, dada una operación, el espacio que ésta requiere para ser guardada.

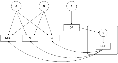
GDES

 

Cálculo DFC

 
Aislados = {}
Esenciales = {o, op}

Co = Cop = 1
Ce = Cm = 2/3
CMSJ = CV = CC = 1/3

LC = 1
TC = 2/7
MC = 13/21 = 0,62

 

Requerimientos Descripción Informal de Diseño Cambios Posibles Subconjuntos e Incrementos Mínimos Guía de Módulos
Estructura de Módulos Estructura de Uso Estructura de Procesos Relación HEREDA_DE Descripción 2MIL
Especificación Formal y Cohesión
Guía de Modificaciones Realizadas